대학교/딥러닝
How many dimensions? - 주성분 분석(PCA)
무말랭이
2022. 5. 5. 14:44
https://angeloyeo.github.io/2019/07/27/PCA.html
주성분 분석(PCA) - 공돌이의 수학정리노트
angeloyeo.github.io
만약 여기서 국어와 영어의 ‘종합 점수’를 만들고자 한다면 어떻게 하는 것이 좋을까?
- 데이터 벡터를 어떤 벡터에 내적(혹은 정사영)하는 것이 최적의 결과를 내주는가?
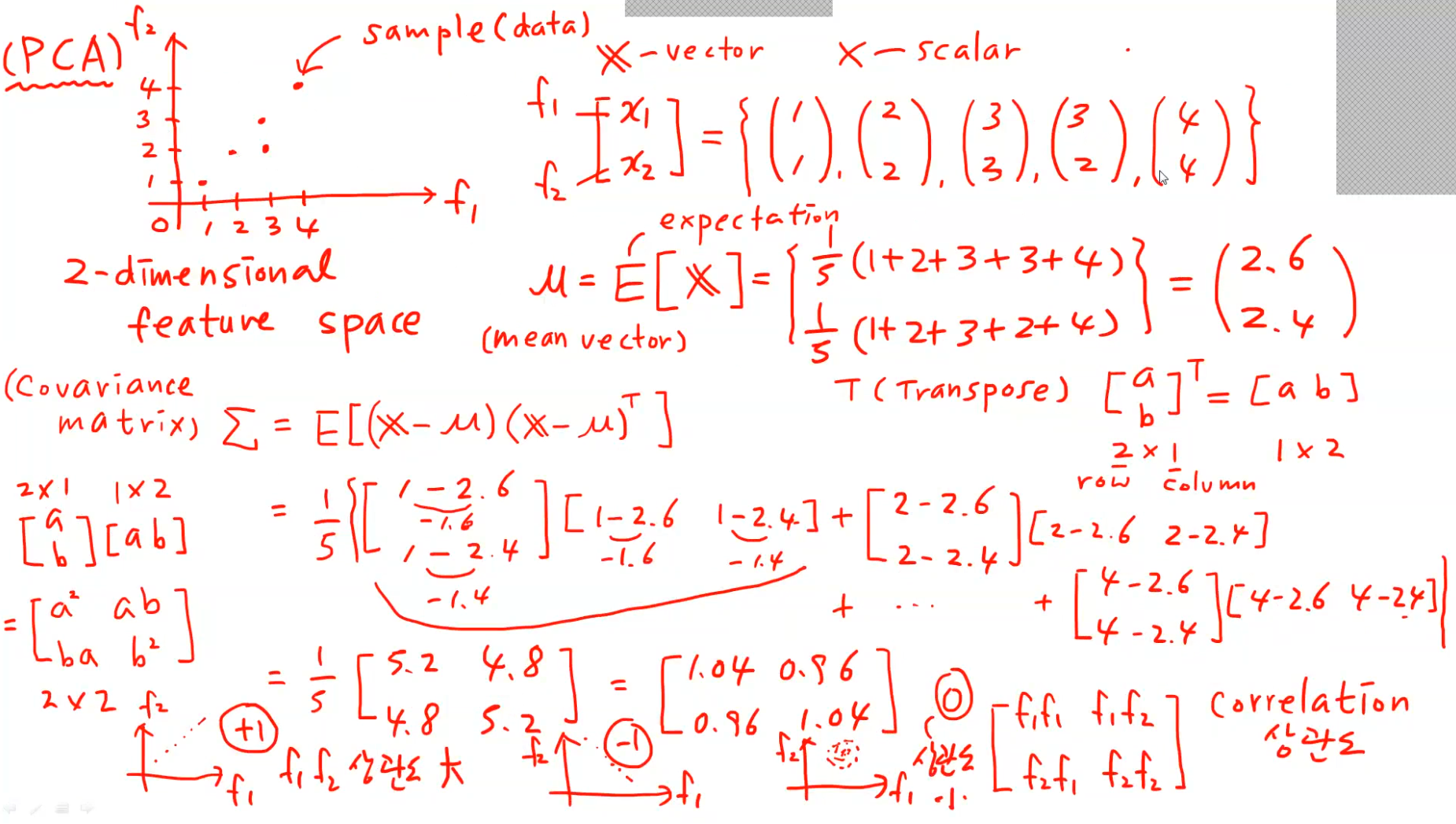
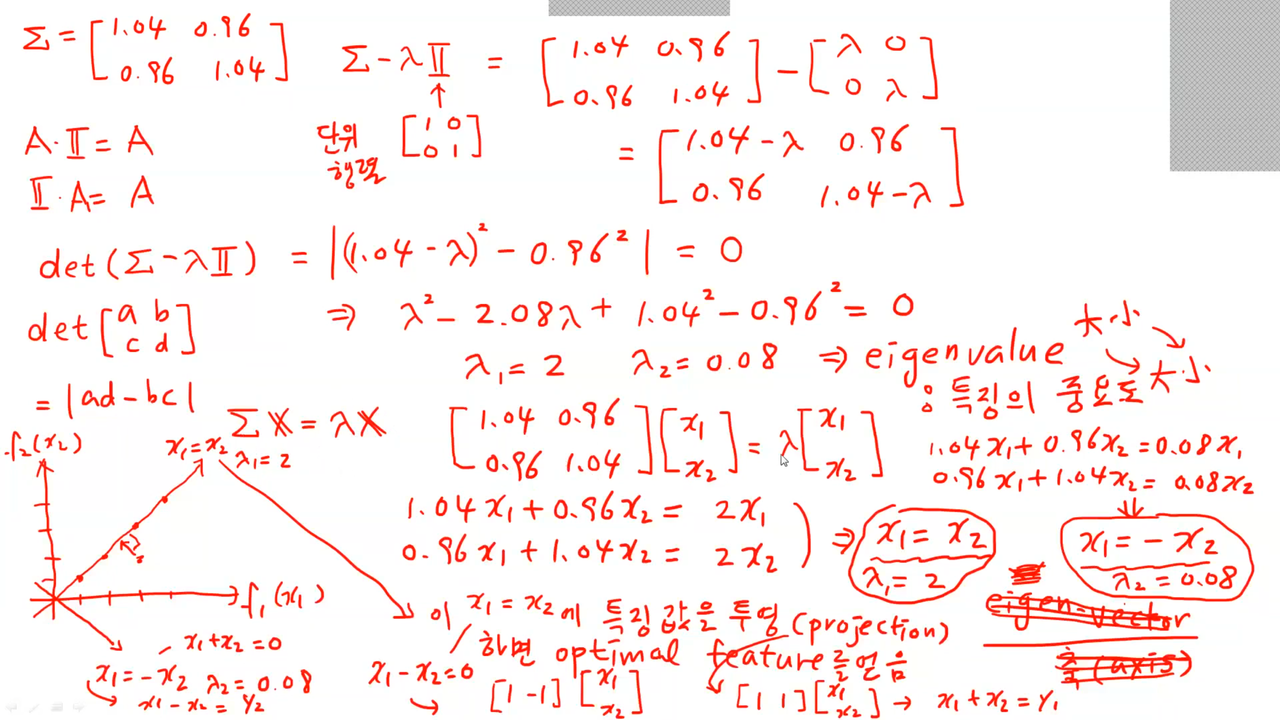
이 문제에 대한 해결은 바로 공분산 행렬의 고윳값과 고유 벡터를 구함으로써 가능하다.
여기서 보면 세 번째 eigenvalue부터 갑자기 꺾이는 현상이 보인다. 그러면 이때는 3차원까지 차원 감소를 시켜준다는 식으로 결정하는 것이 scree plot을 이용한 방법이다.


